Skip to main content

हा खेळ संख्यांचा! - पाच

  • 5 या संख्येला फेर्मा प्राइम (अविभाज्य) संख्या असे म्हटले जाते.
  • अविभाज्य संख्यामध्ये शेवटचा अंक 5 असलेली ही एकमेव संख्या आहे. (कुठल्याही संख्येचा शेवटचा आकडा 5 असल्यास ती संख्या 5 ने पूर्णपणे भागिले जावू शकते. त्यामुळे ती अविभाज्य संख्या नसते. )
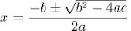
  • ax2 + bx +c= 0
    या प्रकारच्या द्विघात समीकरणाचे अवयव शोधण्यासाठी

    या सूत्राचा वापर केला जातो. ax3 + bx2 +cx+d = 0
    आणि
    ax4 + bx3 +cx2 +dx + e = 0
    या समीकरणांचे अवयव शोधण्यासाठीसुद्धा गुंतागुंतीचे सूत्र आहे.
    परंतु
    ax5 + bx4 +cx3 +dx2 +ex+f = 0
    या 5 घातांक असलेल्या समीकरणासाठी मात्र अजूनही सूत्र (गुंतागुंतीचेसुद्धा) सापडलेले नाही. पंचघात समीकरणाचे उत्तर शोधण्याच्या प्रयत्नात असलेला एव्हरेस्टो गलोई (1811 - 1832) हा गणितज्ञ वयाच्या 21 व्या वर्षी द्वंद्वयुद्धाच्या क्रीडा प्रकारात जखमी होऊन मेला. या समीकरणाला सूत्र नाही हे सिद्ध करणार्‍या सिद्धांताचा हेन्रिक एबल या नार्वेजियन गणितज्ञाने शोध लावला(1823). परंतु तोही वयाच्या 26 व्या वर्षी क्षयरोगाला बळी पडला.

  • Platonic solids

    भूमितीत प्लॅटॉनिक घनाकृती (Platonic solids) या एकरूप नियमित बहुभुजाकृती (congruent regular polygons) आहेत. याचे फक्त 5 प्रकार आहेत :टेट्राहेड्रान (4 पृष्ठक), हेक्साहेड्रान (6 पृष्ठक), ऑक्टाहेड्रान (8 पृष्ठक), डोडेकाहेड्रान (12 पृष्ठक), आणि आयकोसाहेड्रान (20 पृष्ठक). ग्रीक तत्वज्ञ प्लेटो च्या (क्रि पू 424 -348) नावाने या आकृती ओळखल्या जातात.
    प्राचीन ग्रीक तत्वज्ञांनी अग्नीचा टेट्राहेड्रानशी, पृथ्वीचा हेक्साहेड्रानशी, वायूचा ऑक्टाहेड्रानशी व पाण्याचा आयकोसाहेड्रानशी जोडला होता. प्लेटोचा समकालीन थिएटेटस (क्रि.पू. 417 - 396) यानी या आकृतींचे गणितीय वर्णन केले होते. या 5 आकृतीव्यतिरिक्त अशा प्रकारचे बहिर्वक्र नियमित बहुभुजाकृती नाहीत, हे सिद्ध करून दाखविले होते. (अधिक माहितीसाठी)

  • पंचभुजाकृतीच्या तार्‍यांच्या वैशिष्ट्यपूर्ण आकारामागे काही गूढ आहे असे समजले जाते. सामान्यपणे 5 भुजा असलेल्या आकृतीत 10 शिरोबिंदू असतात. शेजारील आकृतीत शिरोबिंदूंचे नामांकन इंग्रजी A,B,C,D ...ने सूचित केले आहे. A,B,C,D ...ऐवजी 1 ते 10 आकड्यानी त्यांना अशा प्रकारे सूचित करायला हवे की प्रत्येक रेषेवरील आकड्यांची बेरीज तीच यायला हवी. हे का शक्य नाही याचे उत्तर 1960 मध्ये चार्ल्स ट्रिग या गणितज्ञाने शोधले. (7 ऐवजी 12 ही संख्या वापरून प्रत्येक रेषेवरील संख्यांची बेरीज 24 शक्य आहे.)

  • जॉन कॉनवे (जन्म 1937) या गणितज्ञाने checker jumping या बुद्धीबळासारख्या खेळाच्या मर्यादाबद्दल भाष्य करताना 5 व्या ओळीत येण्यासाठी कितीही सोंगट्या असले तरी शक्य नाही याचा शोध लावला. अधिक माहितीसाठी )
  • Pentagon building

    जगातील सर्वात मोठ्या प्रशासकीय कार्यालयाचे नाव पेंटागॉन असून या इमारतीला 5 बाजू आहेत. फ्रॅंक्लिन रूझवेल्ट (1882 - 1945) या अमेरिकाच्या राष्ट्राध्यक्षाला पंचकोनाकार फार आवडत असल्यामुळे ही इमारत बांधत असताना त्यानी विशेष लक्ष दिले होते. कारण यापूर्वी अशी 5 बाजू असलेली संपूर्ण इमारत बांधलेली नव्हती. या इमारतीत 5 पंचकोनाकारातील इमारती असून सर्वात आतल्या भागात 5 एकराचा विस्तीर्ण खुली जागा आहे.

  • योगशास्त्रानुसार आपले शरीर डोके, दोन हात व दोन पाय असलेल्या पंचाकृतीत आहे. योगासनातून ऊर्जेच्या 5 रेषा जातात असे समजले जाते.
  • Olympic Rings

    ऑलिंपिक क्रीडास्पर्धेचे मानचिन्ह एकमेकात अडकलेल्या 5 वर्तुळाकृतीतून तयार झालेला आहे. हे 5 वर्तुळ जगातील 5 खंड सूचित करतात. यात उत्तर व दक्षिण अमेरिका यांचा मिळून एकच खंड असे गृहित धरलेले आहे खरे पाहता पृथ्वीवर आफ्रिका, एशिया, युरोप, दक्षिण अमेरिका, उत्तर अमेरिका, आस्ट्रेलिया व अंटार्क्टिका असे सात भूखंड आहेत. या वर्तुळांच्या निळा, काळा, हिरवा, पिवळा व तांबड्या रंगांचा कुठल्याही अर्थाने या भूखंडांशी संबंधित नाही. परंतु या रंगांच्या पैकी किमान एक तरी रंग जगातील राष्ट्रांच्या ध्वजात दिसतील.

  • भूगोलाचा अभ्यास करताना ठावठिकाणा (Location), स्थळ (Place), रहिवाश्यांची भोवतालच्या वातावरणाशी असलेले नाते, स्थलांतराची आणि प्रादेशिक माहिती अशा पाच सूत्रावर भर दिले जाते.
  • सन्मानाने मरण यावे असे वाटणार्‍या वृद्धांना गंभीर आजारपणात नमूद कराव्या लागणार्‍या पाच इच्छा: ((Five wishes)आजारोपचारासंबंधी निर्णय घेणारी व्यक्ती, ज्या प्रकारचे उपचार नको याची माहिती, कितपत आराम हवा याविषयीची इच्छा, इतरांची तुमच्याशी वर्तन आणि तुमच्या अगदी जवळच्यांना कितपत माहीती द्यावी.
  • पंचांग (तिथी, वार, नक्षत्र, योग, करण), पंच ज्ञानेद्रिय, पंचकन्या, पंचकुळी (महाराष्ट्रातील 5 प्रसिद्ध क्षत्रिय कुलं), पंचगव्य, पंचधातू, पंचपक्वान्ने, पंच पांडव, पंचमहाभूत इ.इ. 5 या संख्येशी निगडित आहेत.
  • काही म्हणी:
    पाचही बोटे सारखेच नसतात;
    शंभर गेले, पाच राहिले;
    पाच गेले, पन्नास राहिले
    ' .

या पूर्वीच्या शून्य, एक, दोन, तीन चार वरील लेखासाठी)

....क्रमशः

ऋषिकेश Mon, 13/02/2012 - 12:07

थोडी पुरवणी:

  • पाच हा पहिला सेफ प्राईम नंबर आहे.
  • पाच लाग्रांज बिंदू देखील प्रसिद्ध आणि कृत्रिम उपग्रहक्षेत्रात अत्यंत उपयुक्त आहेत.
  • मुसलमान धर्माचे लोक दररोज पाच वेळा नमाज पढतात
  • प्रसिद्ध पंचशील तत्त्वे
  • शीखांचे पाच प्रसिद्ध पवित्र 'क' : केस, कंगवा, कारा, कच्छा आणि किरपाण

बाकी लेखन आवडते आहेच हे वे सां न

३_१४ विक्षिप्त अदिती Tue, 14/02/2012 - 05:19

हा पण भाग नेहेमीप्रमाणेच रोचक आणि माहितीपूर्ण आहे.

पंचकर्म, पंचगव्य वगैरे शब्द आठवले, पण त्यांच्याबद्दल फारशी माहिती नाही.

मी Wed, 15/02/2012 - 12:25

In reply to by ३_१४ विक्षिप्त अदिती

पंचगव्य - गाईचे दुध,दही,तुप,शेण,मुत्र हे असते, फार चवदार लागतं असेल असं वाटत नाही.
पंचामृत - गाईचे दुध,दही,तुप,साखर,मध हे असते, फार चवदार लागतं.

राजेश घासकडवी Wed, 15/02/2012 - 17:35

वेगवेगळ्या आकड्यांच्या, जीवनाच्या सर्व बाजूंना होणाऱ्या स्पर्शांचा परामर्श घेण्याची कल्पना आवडली.

दहाच्या निम्मे असल्यामुळे पाच हे राउंडऑफ करण्यासाठी वापरले जातात. मी अमुक ठिकाणी साडेबारा मिनिटात पोचेन असं म्हणण्याऐवजी साधारण पंधरा मिनिटात पोचेन असं म्हटलं जातं.

पाचामुखी परमेश्वर, पाच पांडव, पंच पंच उषःकाले हे शब्दप्रयोग आठवतात.

अरविंद कोल्हटकर Thu, 16/02/2012 - 03:45

पंच हे इंग्लंड-अमेरिकेत प्रसिद्ध असलेले पार्टी ड्रिंक हिंदुस्तानात राहिलेल्या ब्रिटिशांमुळे ब्रिटनमध्ये पोहोचले. अल्कोहोल, साखर, पाणी, लिंबाचा रस आणि काही मसाले अशा पाच वस्तु मिसळून केलेल्या पेयास हिन्दी 'पाँच'वरून Punch आणि त्यामधून punch-drunk असे शब्द इंग्लिश भाषेला मिळाले.

हाच शब्द १८४१ साली सुरू झालेल्या 'पंच' ह्या व्यंगचित्रांसाठी आणि सूक्ष्म विनोदांसाठी प्रसिद्ध असलेल्या साप्ताहिकाचे नाव झाला. (सूक्ष्म विनोदाचा एक नमुना: एका दूरवर पसरलेल्या वाळवंटात एक पाटी आहे आणि तिची सावली वाळूवर पडलेली आहे. पाटीवरचे शब्द: The last shadow on this side of the desert!) नेपिअरची तथाकथित 'Peccavi'कोटी 'पंच'मध्ये प्रसिद्ध झाली होती. (तिचा निर्माता नेपिअरच होता का एक ब्रिटिश तरुण वाचिका हा चर्चेचा मुद्दा आहे.)

प्रभाकर नानावटी Thu, 16/02/2012 - 13:31

In reply to by अरविंद कोल्हटकर

'पंच' ची ही कुळ्कथा मला माहित नव्हती. रोचक!
धन्यवाद.
अवान्तरः >> मुष्टीयुद्धातील पंच हा प्रकार कसा आला असावा?